Una función lógica es aquella cuyas variables sólo puede tener dos valores que están relacionadas por uno o varios de los siguientes operadores:
- Suma lógica (+)
- Producto lógico (·)
- Negación (')
Ejemplo:
F = A·B + C·(B·D + A·B·D) + (A·C + E +A·B)
Las propiedades de las variables y de los operadores pertenecen al álgebra de Boole y a partir de estas se construye un circuito lógico.
| Ejemplos de algunas funciones lógicas |
2.¿Qué es una caja negra?
Una caja es un dispositivo que tiene como función estudiar
cuales son las entradas y salidas o las respuestas que se producen en una
aplicación y así poder almacenar los datos que se requieren para poder realizar
un circuito lógico.
Los datos de una caja negra dependerán de las entradas y salidas de la aplicación, y estos seran representados en la tabla de verdad.
Fue
desarrollada por Charles Sanders Peirce por los años
1880, pero el formato más popular es el que introdujo Ludwig
Wittgenstein en su Tractatus
logico-philosophicus, publicado en 1921.
Una tabla
de verdad, o tabla de valores de verdad, es una tabla que muestra el valor
de verdad de una proposición compuesta, para cada combinación de
verdad que se pueda asignar.
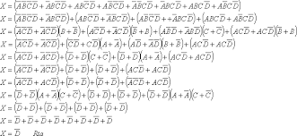
4. Métodos de reducciones lógicas
Por simplificación de una función lógica se entiende la obtención de su mínima expresión. A la hora de implementar físicamente una función lógica se suele simplificar para reducir así la complejidad del circuito y llegar al mismo resultado pero de una manera más sencilla. Algunos de los métodos de reducción de funciones lógicas son los siguientes:
- Los mapas de Karnaugh son un método gráfico que se utiliza para simplificar una ecuación lógica para convertir una tabla de verdad a su circuito lógico correspondiente en un proceso muy simple y ordenado, fueron inventados en 1950 por Maurice Karnaugh. La principal característica de este método de reducción es que reduce la necesidad de hacer cálculos extensos para la reducción de una ecuación lógica.
5. Compuertas Básicas
Las compuertas básicas de sistemas
digitales son las siguientes:
1° AND:La puerta lógica Y, más conocida por su nombre en inglés AND ¿, realiza la función booleana de producto lógico. El producto lógico de las variables A y B se indica como AB, y se lee A y B o simplemente A por B.
2° OR: La puerta
lógica O, más conocida por su nombre en inglés OR ¿,
realiza la operación de suma lógica.
3° NOT: La puerta
lógica NO (NOT en inglés) realiza la función
booleana de inversión o negación de una variable lógica. Una variable
lógica A a la cual se le aplica la negación se pronuncia como
"no A" o "A negada".
4° XOR: La puerta
lógica OR-exclusiva, más conocida por su nombre en inglés XOR,
realiza la función booleana A'B+AB'. Su símbolo es (signo más
"+" inscrito en un círculo). En la figura de la derecha pueden
observarse sus símbolos en electrónica.
5° NAND: La puerta
lógica NO-Y, más conocida por su nombre en inglés NAND,
realiza la operación de producto logico negado.
En ocasiones es llamada también barra de Sheffer.1 En
la figura de la derecha pueden observarse sus símbolos en electrónica.
6° NOR:La puerta lógica NO-O, más conocida
por su nombre en inglés NOR, realiza la operación de suma lógica negada. En
ocasiones es llamada también barra de Pierce.
6.¿Qué es un Circuito Lógico?
Un circuito lógico es aquel que maneja la información en forma binaria, es decir con valores de "1" Y "0". Estos dos niveles de voltaje fijos representan:
- "1" nivel alto o "high"
- "0" nivel bajo o "low".
Cuando ya se tiene desarrollado los demás elementos (caja negra, tabla de verdad y la reducción de la función lógica) se construye el circuito lógico de la función lógica.
| Ejemplo de un circuito lógico |
| Ejemplo de circuito lógico construido en Multimedia Logic |

No hay comentarios.:
Publicar un comentario